Injection Strategies for Improving Emissions Characteristics
Premixed charge compression ignition reduces NOx and soot emissions, but requires the optimization of the injection timing and pressure, fuel mass in pilot injection, and EGR rate.

Traditional diesel engine combustion controlled by fuel injection and fuel-air mixture is typically diffusion combustion. There is a trade-off between NOx emissions and soot emissions in the combustion process. NOx emissions from a diesel engine are greatly affected by the non-homogeneous nature of diesel combustion resulting from the different equivalence ratios of the air-fuel mixture.
Either excessively rich or excessively lean combustion may result in reduced NOx. To reduce NOx, attempts have been made to ensure a premixed condition in which the mixture is distributed homogenously and, at the same time, set at a lean ratio prior to ignition. Therefore, research has been carried out extensively on new combustion modes, including homogenous charge compression ignition (HCCI) and premixed charge compression ignition (PCCI), which are effective measures to reduce NOx and soot emissions and improve the fuel economy of diesel engines.
Compared with traditional combustion modes, the new combustion modes increase the uniformity of the fuel-air mixture by premixing outside the cylinder and direct in-cylinder early injections, and reducing the premixed combustion temperature by exhaust gas recirculation (EGR) and a high air-fuel ratio.
Although combustion modes like HCCI and PCCI can reduce NOx and soot emissions simultaneously, many problems still remain and require solutions, including the control of premixed gas in the cylinder, high HC and CO emissions, and limited engine operation load conditions.
To find solutions to the above problems, many researchers have studied different injection strategies to improve HCCI and PCCI, such as two-stage combustion. Others investigated the influence of injection parameters on the transition from PCCI combustion to conventional diesel combustion using multiple injection strategies. They found that in some cases with early first injection timing and small fuel mass, no liquid fuel was detected when luminous flame points appeared, showing that premixed combustion occurred.
However, with the increase of the fuel mass in the pilot injection and retardation of the first injection timing, the combustion mode changed from PCCI combustion to diffusion flame combustion, with liquid fuel being injected into the hot flame.
Two-stage combustion could significantly improve diesel engine emissions and achieve a lower rate of pressure rise with appropriate injection parameters and EGR. Some researchers agree that two-stage combustion could obviously reduce NOx emissions compared with a single injection at 5°CA BTDC. Research has shown that a multiple injection strategy effectively reduced the NOx and soot emissions of diesel engines, especially at high EGR rates, without significantly increasing other emissions pollutants.
According to a study done by researchers from Huazhong University of Science and Technology, University of Technology Sydney, and Dongfeng Commercial Vehicle Ltd., it is possible to reduce NOx and soot emissions simultaneously by addressing multiple injection strategies with optimal injection timing, injection mass of each stage, and EGR rate.
EGR rate effects
Experiments were conducted on a six-cylinder, turbo-charged heavy-duty diesel engine. With an increase of the EGR rate, the oxygen concentration in the fuel-gas mixture decreased and the specific heat of the in-cylinder mixture increased, resulting in a decrease of the reaction rate. Therefore, in-cylinder pressure and combustion rate decreased with the increase of the EGR rate. The timing of the cold flame reaction of pilot injection combustion did not change with the EGR rate, but the timing of the hot flame reaction was delayed with the increase of the EGR rate.
Ignition timing and the timing of the peak rate of heat release in the main injection combustion stage remained unchanged at different EGR rates. When the pilot injection was earlier at a higher EGR rate, the in-cylinder temperature was lower, and the ignition delay was longer, resulting in premixed combustion of the mixture as controlled by the chemical reaction kinetics.
Therefore, the EGR rate had a significant influence on ignition timing and reaction rate of the pilot injection combustion. Since the pilot injection combustion increased the in-cylinder temperature and created a good thermo-atmosphere for the main injection combustion, the ignition delay of the main injection was shortened and the combustion process was mainly diffusion combustion in that stage.
With the increase of the EGR rate, the maximum pressure-rise rate in the pilot injection combustion stage decreased and its timing was retarded in the cycle, while the pressure rise rate did not change obviously. Although the intensity of the pilot injection combustion was much lower than that of the main combustion, its maximum pressure rise rate was higher, because the pilot injection combustion was mainly premixed combustion and proceeded in the compression stroke, while the main injection combustion took place in the expansion stroke.
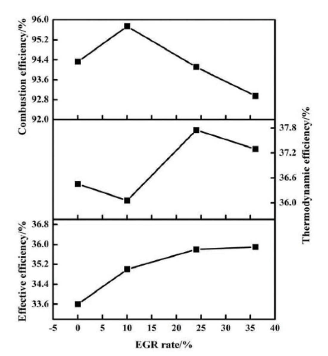
With the increase of the EGR rate, the oxygen concentration in the fuel-gas mixture decreased and the specific heat increased, resulting in the decrease of the reaction rate and the high temperature zone. As a consequence, NOx emissions significantly decreased as the EGR rate increased. NOx emissions at the operating condition with 36% EGR rate was reduced by 75% compared with that of 0% EGR.
Soot emissions increased with the increase of the EGR rate. When the pilot injection mass was less, the gas mixture of pilot injection was more homogeneous and leaner, resulting in fewer soot particles being formed in the cylinder. This was because a high temperature and fuel-rich region exits in the gas mixture of the main injection, and the combustion of main injection was diffusion combustion, resulting in the increase of soot emissions.
HC and CO emissions also increased with the increase of the EGR rate. The HC and CO emissions, which are related to the combustion efficiency of the mixture and the oxidation reaction of the reactants, are the products of incomplete combustion. The increase of the EGR rate prolonged the mixing period and reduced the combustion temperature, leading to more incomplete combustion. Another possible cause of increased HC and CO is the impingement of fuel against the cylinder wall.
Pilot injection timing
With the advance of pilot injection timing, the lower in-cylinder temperature and the longer ignition delay were in favor of the formation of lean and homogeneous mixture, which led to a mild hot-flame reaction of the pilot injection and lower reaction rate. Therefore, the peak in-cylinder pressure decreased with the advance of the pilot injection timing.
When the pilot injection timing approached TDC, the in-cylinder pressure and temperature were very high so that the condition for cool-flame reaction did not exist, while the hot-flame reaction of pilot injection became strong. The pilot injection combustion increased the in-cylinder temperature, and formed a strong airflow disturbance under the influence of pilot injection fuel with high injection pressure, providing a good thermal-atmosphere for main injection combustion.
The main injection ignition delay decreased with the advance of the pilot injection timing, while the pilot injection timing had little influence on the combustion rate and combustion duration of the main injection.
At the pilot injection timing of 15°~35°CA BTDC, the pilot injection combustion was strong, and the maximum rate of the pressure rise appeared in the stage of pilot injection combustion. At the pilot injection timing of 55°CA BTDC, because of the formation of lean premixed mixture, the pilot injection combustion was mild, and the maximum rate of the pressure rise appeared in the stage of main injection combustion.
Since the pilot injection timing was advanced, the ignition delay of main injection combustion decreased, so the maximum rate of the pressure rise of the main injection combustion was lower at the advanced pilot injection timing.
Overall, when the time interval between pilot injection and main injection was increased, the peak in-cylinder pressure decreased, the ignition of cool-flame reaction of pilot injection combustion was advanced, the ignition delay of the main combustion was shortened, and the combustion rate and combustion duration remained unchanged.
With the advance of pilot injection timing, the accumulated heat release and average temperatures were significantly reduced, specific fuel consumption increased, and the thermodynamic efficiency decreased. NOx and soot emissions were reduced, but HC and CO emissions were increased. In the case with very early pilot injection timing, the accumulated heat release and average in-cylinder temperature decreased, and specific fuel consumption got worse.
Pilot injection mass
Peak pressure increased with the increase of the pilot injection mass. The timing of the cool-flame reaction did not change with the pilot injection mass, while the reaction speed increased as the pilot injection mass increased. The timing of hot-flame reaction advanced and the reaction speed increased when the pilot injection mass increased. The ignition timing of main injection combustion slightly advanced with the increase of pilot injection mass.
The heat release and the average temperature of pilot injection combustion increased with the increase of pilot injection mass. However, when the pilot injection mass was further increased, the heat release of pilot injection combustion continually increased, while the accumulated heat release decreased. In the cases with very early injection timing, when the pilot injection mass increased, the spray penetration is deeper and more fuel film may be formed on the cylinder wall, leading to the decrease of the combustion efficiency and the total heat release of pilot injection.
During pilot injection combustion, the combustion rate and the maximum rate of pressure rise increased with the increase of pilot injection mass. Because the pilot fuel was injected into the cylinder during the compression stroke, the maximum rate of pressure rise in pilot injection combustion was obviously higher than that in main-injection combustion. In addition, the timing of maximum rate of pressure rise advanced with the increase of pilot injection mass, while the rate of pressure rise of main combustion decreased.
Combustion efficiency was improved when the percentage of the pilot injection mass increased from 20 to 30%. However, with the further increase of pilot injection mass, the combustion efficiency decreased, and the specific fuel consumption increased. This was because the specific fuel consumption is influenced by not only the combustion efficiency, but also the thermodynamic efficiency and mechanical efficiency.
When the pilot injection mass ratio was greater than 30% — although the pilot injection combustion was strong and the accumulated heat release was high — the thermodynamic efficiency decreased because the pilot injection fuel combustion took place in the compression stroke. Under the combined action of combustion efficiency and thermodynamic efficiency, the specific fuel consumption increased with the increase of pilot injection mass.
It was observed that NOx emissions increased with the increase of pilot injection mass, because the increased heat release in pilot injection combustion caused an increase of in-cylinder temperature that increased the production rate of NOX. Soot emissions decreased as the pilot injection mass increased. With the increase of pilot injection mass, the mass of homogeneous premixed fuel-gas mixture increased in the cylinder, leading to the decrease of soot emissions. However, HC emissions increased with the increase of the pilot fuel percentage. During the earlier pilot injection, some fuel was injected into the region very lean and at low temperature. This may have caused the local quenching and misfire and consequently increased HC emissions.
CO emissions decreased with the increase of pilot injection mass. CO is the product of incomplete chemical combustion and has a strong dependency on the in-cylinder temperature. With the increase of the pilot injection mass, the increased in-cylinder temperature accelerated the CO oxidation in the main injection combustion stage, leading to the decrease of CO emissions.
This article is based on SAE International technical paper 2013-01-2523 by Xiaobei Cheng, Liang Chen, and Fangqin Yan, Huazhong University of Science and Technology; Guang Hong, University of Technology Sydney; and Yong Yin and Huan Liu, Dongfeng Commercial Vehicle Ltd.
Top Stories
INSIDERLighting Technology
Using Ultrabright X-Rays to Test Materials for Ultrafast Aircraft
INSIDERManufacturing & Prototyping
New 3D-Printable Nanocomposite Prevents Overheating in Military Electronics
INSIDERDefense
F-22 Pilot Controls Drone With Tablet
Technology ReportAR/AI
Talking SDVs and Zonal Architecture with TE Connectivity
INSIDERManufacturing & Prototyping
New Defense Department Program Seeks 300,000 Drones From Industry by 2027
INSIDERAerospace
Anduril Completes First Semi-Autonomous Flight of CCA Prototype
Webcasts
Test & Measurement
SAE Automotive Engineering Podcast: Additive Manufacturing
Information Technology
A New Approach to Manufacturing Machine Connectivity for the Air Force
Automotive
Optimizing Production Processes with the Virtual Twin
Power
EV and Battery Thermal Management Strategies
Manufacturing & Prototyping
How Packet Digital Is Scaling Domestic Drone Battery Manufacturing
Automotive
Advancements in Zinc Die Casting Technology & Alloys for Next-Generation...



